-
AVL 트리 구현 및 테스트프로그래밍 기초/알고리즘 2021. 9. 20. 17:45
AVL 트리
이진 검색 트리를 기반으로 노드에 Balance Factor(이후 BF)를 추가하여 BF의 상태에 따라 트리의 균형을 유지한다.
※ AVL 트리는 노드의 수가 n일 때 최대 깊이가 Ο(logn)이 되게 된다.
AVL 트리의 개념
기본적으로 삽입과 삭제는 이진 검색 트리의 알고리즘을 그대로 따르며 이후 BF에 따라 보정하는 작업을 진행하여 트리의 균형을 유지한다.
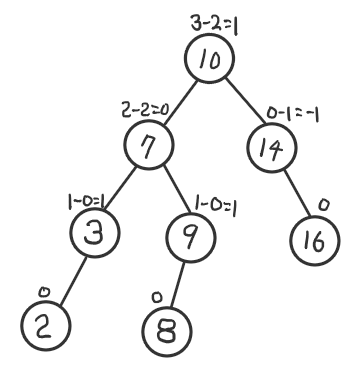
BF는 노드의 왼쪽 서브 트리의 깊이와 오른쪽 서브 트리의 깊이의 차이이다.

AVL 트리와 BF 예제 정상 상태일 때 BF의 범위는 [-1, 1]이 되게 되며 노드의 삽입 혹은 삭제를 통해 이 범위를 넘게 되면 균형이 무너진 것으로 판단한다.

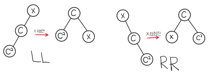
AVL 트리 삽입 시 균형이 깨진 경우 AVL 트리의 회전 알고리즘
BF가 무너진 노드를 x, x의 자식을 c, c의 자식을 c²라 하면 회전이 필요한 경우는 다음과 같이 구분된다.
- c가 x의 왼쪽 자식이고, c²가 c의 왼쪽 자식인 경우(LL) x를 오른쪽 회전
- c가 x의 오른쪽 자식이고, c²가 c의 오른쪽 자식인 경우(RR) x를 왼쪽 회전
- c가 x의 왼쪽 자식이고, c²가 c의 오른쪽 자식인 경우(LR) c를 오른쪽 회전 후 x를 왼쪽 회전
- c가 x의 오른쪽 자식이고, c²가 c의 왼쪽 자식인 경우(RL) c를 왼쪽 회전 후 x를 오른쪽 회전


AVL 트리 회전 예제 ※ AVL 트리의 회전은 균형이 무너진 경우 진행하게 되므로 자식 노드가 존재하지 않는 상황에 진행된다.
※ AVL 트리의 회전 명칭은 삽입, 제거된 노드에서부터 BF를 조사하며 발생하므로 아래에서부터 위로 이름을 붙인다.
AVL 트리 구현
이진 검색 트리를 기반으로 하여 AVL 트리를 구현한다.
AVLTree.h
#pragma once #include "../Common.h" #include <string> #include <queue> #include <map> using std::string; using std::queue; using std::map; /// <summary> /// AVL 트리에 사용할 노드 /// </summary> struct AVLNode { const static int NodeSize = 5; const static int BfSize = 4; // NodeSize + BfSize const static int Width = 9; AVLNode() : isEmpty{ false }, data { 0 }, bf{ 0 }, parent{ nullptr }, left{ nullptr }, right{ nullptr } {} AVLNode(int data) : isEmpty{ false }, data{ data }, bf{ 0 }, parent{ nullptr }, left{ nullptr }, right{ nullptr } {} void Clear() { isEmpty = false; data = 0; parent = nullptr; left = nullptr; right = nullptr; } bool HasBalanceProblem() { return bf < -1 || 1 < bf; } int GetMaxDepth() { int leftMaxDepth{ left != nullptr ? left->GetMaxDepth() : 0 }; int rightMaxDpth{ right != nullptr ? right->GetMaxDepth() : 0 }; return (leftMaxDepth > rightMaxDpth ? leftMaxDepth : rightMaxDpth) + 1; } int GetCurDepth() { return (parent != nullptr ? parent->GetCurDepth() : 0) + 1; } bool HasLeftChild() { return left != nullptr; } bool HasRightChild() { return right != nullptr; } string ToString() { if (isEmpty) { return string(Width, ' '); } string dataStr = std::to_string(data); size_t spaceCnt = NodeSize - dataStr.size(); size_t leftSpaceCnt = spaceCnt / 2; size_t rightSpaceCnt = spaceCnt / 2 + spaceCnt % 2; string bfStr = bf >= 0 ? "+" + std::to_string(bf) : std::to_string(bf); return string(leftSpaceCnt, '_') + dataStr + string(rightSpaceCnt, '_') + "(" + bfStr + ")"; } bool isEmpty; int data; int bf; AVLNode* parent; AVLNode* left; AVLNode* right; }; /// <summary> /// AVL 트리에서 노드의 재활용을 위한 매니저 /// </summary> class AVLNodeManager { public: ~AVLNodeManager(); void Push(AVLNode* node); AVLNode* Pop(); AVLNode* GetEmptyNode(AVLNode* parent); private: AVLNode* nodes; }; /// <summary> /// 연결 자료구조를 이용한 AVL 트리 /// </summary> class AVLTree { public: ~AVLTree(); bool Exists(int data); const AVLNode& Search(int data); void Insert(int data); void Delete(int data); void PrintTree(); private: void Insert(AVLNode* parent, int data); void Delete(AVLNode* node); void PrintTree(AVLNode* node, int lineWidth); string GetNodeStick(AVLNode* node, int blankSize); AVLNode* GetNode(int data); bool IsLeftNode(AVLNode* node); bool IsRightNode(AVLNode* node); AVLNode* RotateLeft(AVLNode* node); AVLNode* RotateRight(AVLNode* node); int CalculateBalaceFactor(AVLNode* node); int GetNodeDepth(AVLNode* node, int depth = 0); bool IsLLCase(AVLNode* c, AVLNode* c2); bool IsRRCase(AVLNode* c, AVLNode* c2); bool IsLRCase(AVLNode* c, AVLNode* c2); bool IsRLCase(AVLNode* c, AVLNode* c2); private: AVLNode* _root; AVLNodeManager _nodeManager; queue<AVLNode*> _queue; map<int, string> _numberMap; map<int, string> _stickMap; };AVLTree.cpp
#include "AVLTree.h" #pragma region 노드 매니저 /// <summary> /// 종료 전 생성하 노드 제거 /// </summary> AVLNodeManager::~AVLNodeManager() { while (nodes != nullptr) { AVLNode* temp{ nodes }; nodes = nodes->left; delete temp; } } /// <summary> /// 사용 완료한 노드를 매니저에 저장 /// </summary> /// <param name="node">사용후 반환할 노드</param> void AVLNodeManager::Push(AVLNode* node) { node->left = nodes; nodes = node; } /// <summary> /// 노드가 필요한 경우 매니저에서 반환 /// </summary> /// <returns>사용할 수 있는 노드</returns> AVLNode* AVLNodeManager::Pop() { AVLNode* node{ nodes }; if (node != nullptr) { nodes = node->left; node->Clear(); } else { node = new AVLNode(); } return node; } /// <summary> /// 주어진 노드를 부모로 하는 공백 노드를 반환한다. /// </summary> /// <param name="parent">부모 노드</param> /// <returns>공백 노드</returns> AVLNode* AVLNodeManager::GetEmptyNode(AVLNode* parent) { AVLNode* emptyNode = Pop(); emptyNode->parent = parent; emptyNode->isEmpty = true; return emptyNode; } #pragma endregion #pragma region AVL트리 /// <summary> /// 종료 전 남은 노드 제거 처리 /// </summary> AVLTree::~AVLTree() { while (_root != nullptr) { Delete(_root); } } /// <summary> /// AVL 트리에서 특정 값을 가지는 노드가 존재하는지 여부 확인 /// </summary> /// <param name="data">찾을 값</param> /// <returns>존재 여부</returns> bool AVLTree::Exists(int data) { AVLNode* node{ _root }; while (node != nullptr) { if (node->data == data) { return true; } else if (node->data > data) { node = node->left; } else { node = node->right; } } return false; } /// <summary> /// AVL 트리에서 주어진 값을 가진 노드를 반환 /// </summary> /// <param name="data">찾을 값</param> /// <returns>값을 가진 노드, 없으면 nullptr</returns> const AVLNode& AVLTree::Search(int data) { return *GetNode(data); } /// <summary> /// AVL 트리에 값을 가지는 노드를 삽입 /// </summary> /// <param name="data">삽입할 값</param> void AVLTree::Insert(int data) { if (Exists(data)) { return; } Insert(_root, data); CalculateBalaceFactor(_root); } /// <summary> /// AVL 트리에서 해당 값을 가지는 노드를 제거 /// </summary> /// <param name="data">제거할 값</param> void AVLTree::Delete(int data) { if (!Exists(data)) { return; } Delete(GetNode(data)); CalculateBalaceFactor(_root); } /// <summary> /// 이진 검색 트리를 출력한다. /// </summary> void AVLTree::PrintTree() { if (_root == nullptr) { std::cout << "EMPTY\n"; return; } int maxDepth{ _root->GetMaxDepth() }; int maxNodeCount{ static_cast<int>(std::pow(2, maxDepth - 1)) }; int totalCount{ maxNodeCount * 2 + 1 }; int lineWidth{ totalCount * AVLNode::Width }; for (int i = 1; i <= maxDepth; i++) { _numberMap[i] = ""; _stickMap[i] = ""; } _queue.push(_root); while (!_queue.empty()) { AVLNode* node{ _queue.front() }; _queue.pop(); PrintTree(node, lineWidth); if (!node->isEmpty) { if (node->left != nullptr) { _queue.push(node->left); } else { AVLNode* emptyNode{ _nodeManager.GetEmptyNode(node) }; emptyNode->left = node; _queue.push(emptyNode); } if (node->right != nullptr) { _queue.push(node->right); } else { AVLNode* emptyNode{ _nodeManager.GetEmptyNode(node) }; emptyNode->right = node; _queue.push(emptyNode); } } if (node->isEmpty) { _nodeManager.Push(node); } } for (int i = 1; i <= maxDepth; i++) { std::cout << _stickMap[i] << '\n'; std::cout << _numberMap[i] << '\n'; } std::cout << "\n\n"; } /// <summary> /// AVL 트리 삽입 처리 /// </summary> /// <param name="parent">삽입해야 할 노드의 부모</param> /// <param name="data">삽입할 값</param> void AVLTree::Insert(AVLNode* parent, int data) { if (parent == nullptr) { AVLNode* node{ _nodeManager.Pop() }; node->data = data; _root = node; } else if (parent->data > data) { if (parent->left == nullptr) { AVLNode* node{ _nodeManager.Pop() }; node->data = data; node->parent = parent; parent->left = node; } else { Insert(parent->left, data); } } else { if (parent->right == nullptr) { AVLNode* node{ _nodeManager.Pop() }; node->data = data; node->parent = parent; parent->right = node; } else { Insert(parent->right, data); } } } /// <summary> /// AVL 트리 제거 처리 /// </summary> /// <param name="node">제거할 노드</param> void AVLTree::Delete(AVLNode* node) { AVLNode* parent{ node->parent }; if (node->left == nullptr && node->right == nullptr) { if (IsLeftNode(node)) { parent->left = nullptr; } else if (IsRightNode(node)) { parent->right = nullptr; } else { _root = nullptr; } _nodeManager.Push(node); } else if (node->left != nullptr && node->right == nullptr || node->left == nullptr && node->right != nullptr) { AVLNode* child{ node->left }; if (child == nullptr) { child = node->right; } if (IsLeftNode(node)) { parent->left = child; } else if (IsRightNode(node)) { parent->right = child; } else { _root = child; } child->parent = parent; _nodeManager.Push(node); } else { AVLNode* child{ node->left }; while (child->right != nullptr) { child = child->right; } node->data = child->data; Delete(child); } } /// <summary> /// 트리를 출력한다. /// </summary> /// <param name="node">현재 출력할 노드</param> void AVLTree::PrintTree(AVLNode* node, int lineWidth) { int curDepth{ node->GetCurDepth() }; int curNodeCount{ static_cast<int>(std::pow(2, curDepth - 1)) }; int totalNodeSize{ curNodeCount * AVLNode::Width }; int blankCount{ curNodeCount + 1 }; int totalBlankSize{ lineWidth - totalNodeSize }; int blankSize{ totalBlankSize / blankCount }; string& numberStr{ _numberMap[curDepth] }; numberStr.append(string(blankSize, ' ')); numberStr.append(node->ToString()); string& stickStr{ _stickMap[curDepth] }; stickStr.append(GetNodeStick(node, blankSize)); } /// <summary> /// 주어진 노드에 맞는 막대를 만들어 반환한다. /// </summary> /// <param name="node">처리할 노드</param> /// <returns>막대 노드 문자열</returns> string AVLTree::GetNodeStick(AVLNode* node, int blankSize) { if (node == _root) { return ""; } int halfNodeWidth{ AVLNode::Width / 2 }; int halfBlankSize{ blankSize / 2 }; string result; if ((node->isEmpty && node->left != nullptr) || IsLeftNode(node)) { int leftSpaceCnt{ blankSize + halfNodeWidth - (AVLNode::Width % 2 == 0 ? 1 : 0) }; result.append(string(leftSpaceCnt, ' ')); result.append(node->isEmpty ? " " : "┌"); int rightHypenCnt{ halfBlankSize + halfNodeWidth - 1 }; for (int i = 0; i < rightHypenCnt; i++) { result.append(node->isEmpty ? " " : "─"); } result.append(node->isEmpty ? " " : "┘"); } else { result.append(node->isEmpty ? " " : "└"); int leftHypenCnt{ halfBlankSize + halfNodeWidth - 1 }; for (int i = 0; i < leftHypenCnt; i++) { result.append(node->isEmpty ? " " : "─"); } result.append(node->isEmpty ? " " : "┐"); result.append(string(halfNodeWidth, ' ')); } return result; } /// <summary> /// 주어진 값을 가진 노드의 포인터를 반환한다. /// </summary> /// <param name="data">찾으려는 값</param> /// <returns>노드의 포인터</returns> AVLNode* AVLTree::GetNode(int data) { AVLNode* node{ _root }; while (node != nullptr) { if (node->data == data) { break; } else if (node->data > data) { node = node->left; } else { node = node->right; } } return node; } /// <summary> /// 해당 노드가 부모 노드의 왼쪽 자식인지 여부 /// </summary> /// <param name="node">확인할 노드</param> /// <returns>왼쪽 자식인지 여부</returns> bool AVLTree::IsLeftNode(AVLNode* node) { return node->parent != nullptr && node->parent->left == node; } /// <summary> /// 해당 노드가 부모 노드의 오른쪽 자식인지 여부 /// </summary> /// <param name="node">확인할 노드</param> /// <returns>오른쪽 자식인지 여부</returns> bool AVLTree::IsRightNode(AVLNode* node) { return node->parent != nullptr && node->parent->right == node; } /// <summary> /// 주어진 노드를 기준으로 왼쪽으로 회전한다. /// </summary> /// <param name="node">기준 노드</param> AVLNode* AVLTree::RotateLeft(AVLNode* node) { AVLNode* x{ node }; AVLNode* p{ x->parent }; AVLNode* c{ x->right }; bool wasPLeft{ IsLeftNode(x) }; c->left = x; c->parent = p; if (wasPLeft) { p->left = c; } else { p->right = c; } x->parent = c; x->right = nullptr; return c; } /// <summary> /// 주어진 노드를 기준으로 오른쪽으로 회전한다. /// </summary> /// <param name="node">기준 노드</param> AVLNode* AVLTree::RotateRight(AVLNode* node) { AVLNode* x{ node }; AVLNode* p{ x->parent }; AVLNode* c{ x->left }; bool wasPLeft{ IsLeftNode(x) }; c->right = x; c->parent = p; if (wasPLeft) { p->left = c; } else { p->right = c; } x->parent = c; x->left = nullptr; return c; } /// <summary> /// 주어진 노드의 BF를 구하여 반환한다. /// </summary> /// <param name="node">타겟 노드</param> int AVLTree::CalculateBalaceFactor(AVLNode* node) { if (node == nullptr) { return 0; } CalculateBalaceFactor(node->left); CalculateBalaceFactor(node->right); node->bf = GetNodeDepth(node->left) - GetNodeDepth(node->right); // 밸런스가 무너진 경우 if (node->HasBalanceProblem()) { AVLNode* x{ node }; AVLNode* c{ x->left != nullptr ? x->left : x->right }; AVLNode* c2{ c->left != nullptr ? c->left : c->right }; if (IsLLCase(c, c2)) { node = RotateRight(x); } else if (IsRRCase(c, c2)) { node = RotateLeft(x); } else if (IsLRCase(c, c2)) { RotateRight(c); node = RotateLeft(x); } else if (IsRLCase(c, c2)) { RotateLeft(c); node = RotateRight(x); } x->bf = GetNodeDepth(x->left) - GetNodeDepth(x->right); node->bf = GetNodeDepth(node->left) - GetNodeDepth(node->right); } return node->bf + (node != _root ? 1 : 0); } /// <summary> /// 주어진 노드의 깊이를 구하여 반환한다. /// </summary> /// <param name="node">시작 노드</param> /// <returns>시작 노드의 최대 깊이</returns> int AVLTree::GetNodeDepth(AVLNode* node, int depth) { if (node == nullptr) { return depth; } int leftDepth{ GetNodeDepth(node->left, depth + 1) }; int rightDepth{ GetNodeDepth(node->right, depth + 1) }; return (leftDepth > rightDepth ? leftDepth : rightDepth); } /// <summary> /// 주어진 노드의 배치가 LL케이스인지 여부를 반환한다. /// </summary> /// <param name="c">문제 노드의 자식</param> /// <param name="c2">c의 자식</param> /// <returns>LL케이스인지 여부</returns> bool AVLTree::IsLLCase(AVLNode* c, AVLNode* c2) { if (IsLeftNode(c) && IsLeftNode(c2)) { return true; } return false; } /// <summary> /// 주어진 노드의 배치가 RR케이스인지 여부를 반환한다. /// </summary> /// <param name="c">문제 노드의 자식</param> /// <param name="c2">c의 자식</param> /// <returns>RR케이스인지 여부</returns> bool AVLTree::IsRRCase(AVLNode* c, AVLNode* c2) { if (IsRightNode(c) && IsRightNode(c2)) { return true; } return false; } /// <summary> /// 주어진 노드의 배치가 LR케이스인지 여부를 반환한다. /// </summary> /// <param name="c">문제 노드의 자식</param> /// <param name="c2">c의 자식</param> /// <returns>LR케이스인지 여부</returns> bool AVLTree::IsLRCase(AVLNode* c, AVLNode* c2) { if (IsLeftNode(c) && IsRightNode(c2)) { return true; } return false; } /// <summary> /// 주어진 노드의 배치가 RL케이스인지 여부를 반환한다. /// </summary> /// <param name="c">문제 노드의 자식</param> /// <param name="c2">c의 자식</param> /// <returns>RL케이스인지 여부</returns> bool AVLTree::IsRLCase(AVLNode* c, AVLNode* c2) { if (IsRightNode(c) && IsLeftNode(c2)) { return true; } return false; } #pragma endregionmain.cpp
#include "Common.h" #include "검색트리/AVLTree.h" int main() { int n = 9; int* arr; // 동작 테스트를 위한 값 arr = new int[n]{ 10, 5, 20, 3, 7, 15, 25, 1, 4 }; AVLTree tree; for (int i = 0; i < n; i++) { tree.Insert(arr[i]); } tree.PrintTree(); tree.Delete(5); tree.PrintTree(); tree.Delete(10); tree.PrintTree(); tree.Delete(15); tree.PrintTree(); delete[] arr; }실행결과
_10__(+1) ┌─────────────────────────┘└─────────────────────────┐ __5__(+1) _20__(+0) ┌──────────────┘└──────────────┐ ┌──────────────┘└──────────────┐ __3__(+0) __7__(+0) _15__(+0) _25__(+0) ┌───────┘└───────┐ __1__(+0) __4__(+0) _10__(+1) ┌─────────────────────────┘└─────────────────────────┐ __4__(+1) _20__(+0) ┌──────────────┘└──────────────┐ ┌──────────────┘└──────────────┐ __3__(+1) __7__(+0) _15__(+0) _25__(+0) ┌───────┘ __1__(+0) __7__(+0) ┌─────────────┘└─────────────┐ __3__(+0) _20__(+0) ┌───────┘└───────┐ ┌───────┘└───────┐ __1__(+0) __4__(+0) _15__(+0) _25__(+0) __7__(+0) ┌─────────────┘└─────────────┐ __3__(+0) _20__(-1) ┌───────┘└───────┐ └───────┐ __1__(+0) __4__(+0) _25__(+0)NadanKim/Algorithm: 알고리즘 학습 및 예제 코드 작성을 위한 저장소 (github.com)
NadanKim/Algorithm
알고리즘 학습 및 예제 코드 작성을 위한 저장소. Contribute to NadanKim/Algorithm development by creating an account on GitHub.
github.com